Der Hausaufgaben Thread

Spontaner Tipp wäre Regel von L'Hoptial. Habs aber selbst nicht nachgerechnet.

EDIT: Vorher natürlich außeinanderziehen. ln(x)/O(x²) -> 0, da der ln halt so langsam steigt, dass er immer von jeder Potenz platt gemacht wird. Falls es fachlich hieb- und stichfest sein muss, auch hier mit L'Hoptial ansetzen.
 
Zuletzt bearbeitet:
Wenn Du diese Anzeige nicht sehen willst, registriere Dich und/oder logge Dich ein.
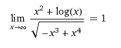
Wenn du als erstes Quadrierst hast du (x^4+ln(x)^2)/(x^4-x^3). Dann kürzst du durch die höchste Potenz (x^4) und kannst alles was gegen Null geht rausstreichen.Zum Schluss wieder die Wurzel ziehen.
 
wozu l'hospital? x^2 kann man kürzen, dann bleibt log x gegen + unendlich und -x^3 gegen - unendlich über. da gewinnt das polynom, weil die ableitung vom log x gegen null geht

ich glaub amd fan sollte den term mal sauber aufschreiben :d
 
Zuletzt bearbeitet:
@Moo Rhy: Wenn ich quadriere, bekomme ich im Zähler doch ein Binom oder sehe ich grad den Wald vor Bäumen nicht?

@fl0 Wie kann ich x² kürzen? Unten steht ja auch noch eine Summe im Weg, oder vernachlässigst du die x³ einfach?
 
also wenn ich dem link folge (unter der annahme dass amd fan ein semikolon am schluß vergessen hat und schreiben wollte ;x->infinity statt -x^3*x wie es wolfram interpretiert), dann kann man kürzen. falls das -x^3 auch noch unter der wurzel steht, würde ich den nenner wahrscheinlich erstmal rational machen und dann maximal 4 mal l'hospital anwenden, bis im zähler nullfolgen stehen und im nenner eine konstante.

wie gesagt, am besten nochmal sauber den term aufschreiben
 
lim.png
Das sehe ich. Daher meine Verwirrung.
 
Ich sehe das, was Autokiller677 sieht.

@Moo Rhy: Wenn ich quadriere, bekomme ich im Zähler doch ein Binom oder sehe ich grad den Wald vor Bäumen nicht?

ähm, sicher
also (x^4+2ln(x)*x^2+ln(x)^2)/(x^4-x^3)
ändert aber nichts an dem weiteren Vorgehen und dem Ergebnis
 
Bräuchte mal kurz ne Erklärung zur Wechselspannungstechnik...

Man hat ja z.B. die Formel u(t) = û * sin(omega * t)

Damit rechnet man dann die Spannung zum Zeitpunkt t aus, richtig?
Heißt also man nimmt die Amplitude der Spannung (û), multipliziert sie mit dem Sinus (damit man halt die Sinuskurve bekommt), dessen Argument die Kreisfrequenz mal die Zeit t ist, wobei für t der Zeitpunkt in Sekunden eingesetzt wird, für den man die Spannung berechnen möchte.
Die Kreisfrequenz bestimmt, wie lang eine Periode ist, also im Prinzip wie gestreckt bzw. gestaucht die einzelnen "Sinusparabeln" (ich nenne sie jetzt einfach mal so) sind.

Stimmt das so, hab ich das richtig begriffen, oder ist das falsch?
 
Hat jemand hier Ahnung von Interpolationsmethoden in der NC-Steuerung?
Genauer gesagt geht es um das BiArc-Fitting. Meine Googleien haben mich auf dem Gebiet bisher nicht wirklich weiter gebracht, was die Mathematik dahinter angeht. Klar, es ist alles Vektorrechnung, aber in wie weit hat das was mit Numerik zu tun?
Das ist nämlich das Thema meiner wunderbaren Numerik Hausarbeit für dieses Semester.
 
Ich kenn mich zwar nicht mit NC-Steuerung bzw. biarc-Fitting aus, aber ich kann dir mal eine grundlegende Idee für Interpolationsmethoden geben:
Häufig hat man eine Datentabelle (x_i,y_i) gegeben und möchte diese durch eine Funktion f:IR-->IR annähern, z.B. mit Polynomen, Splines und trig. Polynomen.
Kurz:
geg.: x,y in IR^n mit x=(x_1,...,x_n), x_i != x_j, i !=j und M n-dimensionaler Funktionenraum.
ges.: g in M mit g(x_i)=y_i für alle i=1,...n.

Ok, da das Ganze jetzt in einem endlichdimensionalen Funktionenraum spielt, können wir dies mit elementarer Linearer Algebra lösen. Die Numerik interessiert sich nun für verschiedene Sachen. Sie möchte dieses Problem erstmal "in der Realtität" lösen können (siehe oben), verschiedenste Fehlerabschätzungen gewinnen und dies optimalerweise effizient berechnen.

Bei den Fehlerabschätzungen sind bspw. folgende Sachen interessant:
(a) Angenommen wir haben eine ausreichend glatte Funktion f auf einem Intervall [a,b], wenn wir für diese Funktion eine Interpolation g an den Stellen x_i berechnen, wie groß ist der Fehler, d.h. ||f-g|| soll abgeschätzt werden (bspw. |f(w)-g(w)| für alle w aus [a,b]). Da wird man dann i.d.R. feststellen, dass das im Wesentlichen von den gewählten Stützstellen x_i abhängt -> Hier kann man sich also Fragen, kann man die Stützstellen geschickt wählen? Das läuft dann auf eine Analyse von M hinaus. Insb. kann man sich dann fragen, ob das Ganze numerisch stabil ist (siehe Wiki).
(b) Konvergenzeigenschaften. Gilt lim[n to inf] ||f-g||=0 (bspw. lim[n to inf] max_{w aus [a,b]} |f(w)-g(w)| mit a=min x_i, b=max x_i)? Konvergenzordnung?
(c) Man erhält beim Lösen ein lineares Gleichungssystem (LGS). Kann man Aussagen über die Kondition der Matrix machen?

Effizient berechnen: Durch geschickte Wahl der Basis von M, erhält man üblicherweise ein LGS mit spezieller Struktur (z.B. symmetrisch, dünn besetzt, positiv-definit, ...). Kann man diese Gleichungssysteme mit bestimmten Verfahren effizient lösen?

Dies sind nur einige Aspekte, die dort von Interesse sind. Zum Beispiel könnte man auch nach Adaptivität fragen..
 
Zuletzt bearbeitet:
Ui danke!

Also ich kann Dir nur sagen, dass man mit BiArcs interpoliert, weil die Maschine G1-Code braucht. Also stetig differenzierbar. Da aber ja auch mal Bauteile mit Ecken vorkommen, muss eben mit BiArcs interpoliert werden.
Dabei wird zwischen den zwei Interpolationspunkte eine Kurve aus zwei (bi) Kreisbögen (Arcs) interpoliert, die tangentenstetig ineinander übergehen.
Von den beiden Punkten müssen dabei die Ortskoordinaten und die Tangenten (R2 oder R3 spielt erstmal keine Rolle) bekannt sein und man "puzzelt" dann quasi die beiden Kreisbögen dazwischen. Nur fehlt mir der Ansatz für das Puzzeln^^
 
Kann mir jemand mal diese Aufgabe Step by Step lösen?


3x - 1 / 2x - 3 = 1 + x + 9 / 4x - 6
 
alles mit x mltiplizieren, um das x aus dem Nenner zu bekommen. Dann alles auf eine Seite schaufeln und PQ Formel. Oder du hast irgendwo klammern vergessen und das ganze ist komplizierter.
 
Setz am besten mal die Klammern so wie in der Aufgabe.
So wie es da jetzt steht wäre z.B. 3x - 1/2x = 5/2x.
Und auf der anderen Seite käme 9/4x (sprich: Neun Viertel x) vor.
Oder ist das tatsächlich so gewollt?
 
Hier die Aufgabe aus dem Buch:



Das Buch heißt übrigens "Vorkurs der Ingenieurmathematik" xD
 
Ok das ist was ganz anderes, als ich jetzt verstanden hätte.

Auch egal.

Einfach mit beiden Nennern multiplizieren, damit die Brüche wegfallen. Dann hast du ein Polynom 3. Grades, mit den üblichen Methoden zu lösen.
 
uploadfromtaptalk1397067015646.jpg

Hoffe es stimmt und du kannst es lesen ;)

1,5 ist keine Lösung, weil man durch 0 teilt, wenn man es in die Gleichung einsetzt ;)
Da wo x1,2 steht hab ich die p-q-Formel angewandt.
 
Zuletzt bearbeitet:
Es würde sich anbieten dem Term auf der linken Seite der Gleichung vorerst mit 2 zu erweitern. Dadurch spart man sich etwas Rechnung, da durch weitere Umformung nur eine lineare Gleichung entsteht. Die üblichen Methoden für die Nullstellenbestimmung von Polynomen 3. Grades sind i.A. eher umständlich (s. Formeln von Cardano) und hier auch gar nicht erforderlich.
 
Zuletzt bearbeitet:
Vielen Dank für eure Lösungsvorschläge, jedoch kommt (wenn ich hinten in die Lösung gucke) x =5 raus :confused:
 
Ok, dann hab ich vielleicht einen Fehler gemacht :fresse:

E: joa, hab ich anscheinend, Wolfram Alpha sagt auch x=5.
Kann dir die App davon sehr empfehlen, die kann deine Aufgabe mit Lösungsweg lösen.
Kostet 2,x€ bei Google Play ;)
 
Zuletzt bearbeitet:
Ihr seid ja mehr oder weniger mit wissenschaftlichen Arbeiten vertraut:

Code:
${s}_{({T}_{20})} = \sqrt{\frac{1}{4}({(<{T}_{20}>-35,59)}^{2}+{(<{T}_{20}>-35,41)}^{2}+{(<{T}_{20}>-35,32)}^{2}+{(<{T}_{20}>-35,18)}^{2}+{(<{T}_{20}>-35,56)}^{2})}$

Was muss ich machen damit nachdem Ausdruck "{(<{T}_{20}>-35,32)}^{2}" ein Zeilenumbruch ensteht?
 
Zuletzt bearbeitet:
Einen Zeilenumbruch setzen, also \\. Falls das so nicht klappt, kannst du noch \text{\\} versuchen. Wenn auch das nicht geht, wäre meine erste Idee, dass in ein eqnarray zu packen, dann bekommt man auch ein schönes Alignment.

EDIT: Oder natürlich, einfach mathmode zumachen, Zeilenumbruch setzen, in neuem mathmode den Rest schreiben.
 
Ich würde eine align Umgebung nutzen und mit \overline den Rest in die nächste Zeile packen.

Code:
\begin{align*}
{s}_{({T}_{20})} = &\sqrt{\frac{1}{4}({(<{T}_{20}>-35,59)}^{2}+{(<{T}_{20}>-35,41)}^{2}+{(<{T}_{20}>-35,32)}^{2}+{(<{T}_{20}>-35,18)}^{2}}\\
&\overline{+\,{(<{T}_{20}>-35,56)}^{2})}
\end{align*}

eqnarray gibbet noch? Ich dachte das wäre mittlerweile ausgestorben..
 
Gibts noch. Align kann man natürlich auch nehmen, genauso kann man eine equation mit einem aligned schachteln. Bei diesem einfachen Problem sollte es keinen Unterschied machen.

Aber wozu die overline? Da bekommt man doch nur ne Linie überm Text oder bin ich gerade bescheuert?
 
Naja, die Wurzel soll ja weitergehen. Deshalb das overline. Meine Bemerkung zu eqnarray sollte nur darauf hindeuten, dass align besser ist. :>
 

Ähnliche Themen

Hardwareluxx setzt keine externen Werbe- und Tracking-Cookies ein. Auf unserer Webseite finden Sie nur noch Cookies nach berechtigtem Interesse (Art. 6 Abs. 1 Satz 1 lit. f DSGVO) oder eigene funktionelle Cookies. Durch die Nutzung unserer Webseite erklären Sie sich damit einverstanden, dass wir diese Cookies setzen. Mehr Informationen und Möglichkeiten zur Einstellung unserer Cookies finden Sie in unserer Datenschutzerklärung.


Zurück
Oben Unten refresh