sidewinderdxii
Legende
Sei doch froh, da musst du nach der Harzer Doku vorher, nicht mehr umschalten!Da will man mal wieder ein Länderspiel schauen und dann läuft das auf dem Assi-Sender RTL.![]()
Follow along with the video below to see how to install our site as a web app on your home screen.
Anmerkung: this_feature_currently_requires_accessing_site_using_safari
Sei doch froh, da musst du nach der Harzer Doku vorher, nicht mehr umschalten!Da will man mal wieder ein Länderspiel schauen und dann läuft das auf dem Assi-Sender RTL.![]()
Ich persoenlich setze da nach dem Auftrag keinen Fuß mehr in deren Tuer.





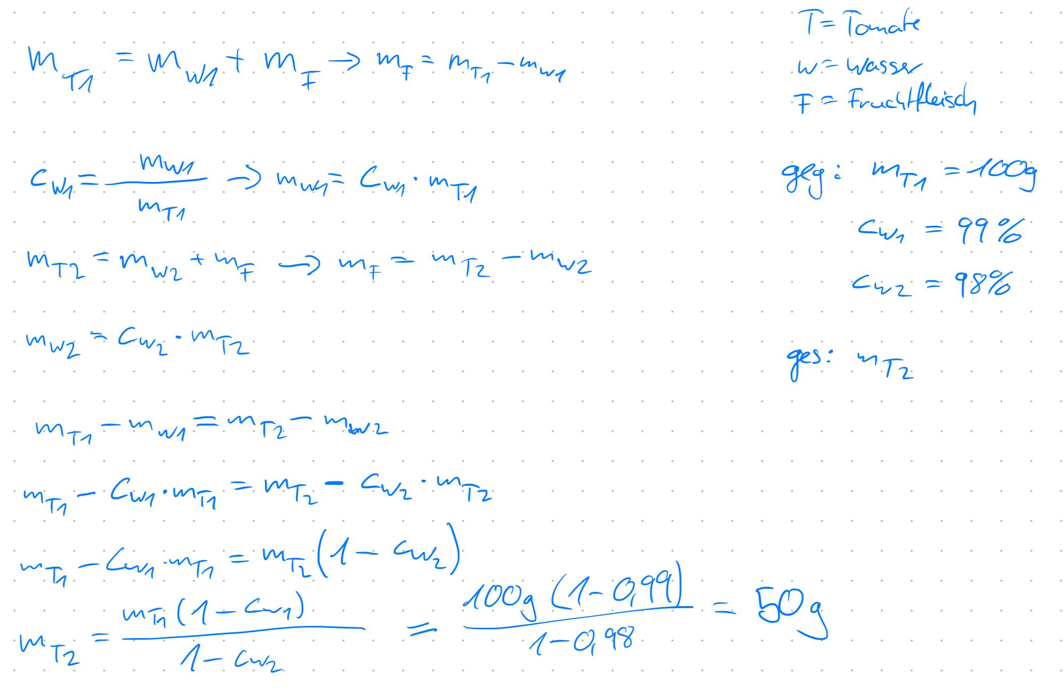
Großtartig, danke, mein gekritzel hat die gleichen Buchstaben und hab auch genauso angefangen mich aber irgendwo verloren.

Weil nicht 1% Wasser verloren gegangen ist.... Der Wasseranteil aufs gesamtgewicht hat sich um 1% reduziert. UNd an sich brauchts da keine wilden Formeln... Wenn bei 100g der Feststoffanteil 1% ist ist, muss das Gesamtgewicht um 50% sich rduzieren, damit der Wasseranteil zu 98% wird wenn der Feststoffanteil gleich bleibt. Denn nur so kann sich der Feststoffanteil verdoppeln in Bezug auf die dann verbleibende Gesamtmasse.Wie kann bei 1% Wasserverlust bitte 50% Gewichtsverlust rauskommen?
Das kenn ich als "Scherzfrage" (weil das Ergebnis halt unerwartet ist), bzw. Mathetest.Wie kann bei 1% Wasserverlust bitte 50% Gewichtsverlust rauskommen? Das ergibt weder mathematisch noch logisch einen Sinn, auch wenn deine Herleitungen toll aussehen![]()
Dann macht es auch Sinn und der Wiki Artikel beschreibt es auch genau so was ich gerade lange in nem Text als Frage formuliert hae...Weil nicht 1% Wasser verloren gegangen ist.... Der Wasseranteil aufs gesamtgewicht hat sich um 1% reduziert. UNd an sich brauchts da keine wilden Formeln... Wenn bei 100g der Feststoffanteil 1% ist ist, muss das Gesamtgewicht um 50% sich rduzieren, damit der Wasseranteil zu 98% wird wenn der Feststoffanteil gleich bleibt. Denn nur so kann sich der Feststoffanteil verdoppeln in Bezug auf die dann verbleibende Gesamtmasse.
Dieses Fehlurteil wird durch die irreführende und sachlich falsche Angabe in der Aufgabenstellung verstärkt. Der Fehlschluss beruht also in erster Linie auf der Annahme, der Wassergehalt der Ausgangsmasse hätte sich um einen Prozentpunkt verringert, während aber tatsächlich angegeben wurde, dass er sich gegenüber der Trockenmasse um einen Prozentpunkt verringert hat.

Kommt die nicht auf RTL2?Sei doch froh, da musst du nach der Harzer Doku vorher, nicht mehr umschalten!


Ich hatte diese mathematischen Paradoxon Aufgaben im Psychologiestudium. Musste sofort an dieses Paradoxon hier denken (das ich intuitiv auch völlig falsch eingeschätzt hatte):Wahrscheinlich ist das auch der Witz an der Aufgabe. Weil es völlig unlogisch klingt, aber mathematisch korrekt ist.
Manchmal muss man eben einfach rechnen und nicht schätzen.![]()